Frage 4 - Antwort C
zurück zur Frage |
![]() |
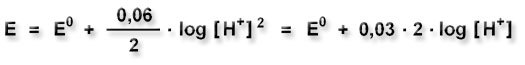
Chinon und Hydrochinon stellen ein Redoxpaar dar, das gemäß der nachfolgenden Gleichung durch den Übergang von 2 Elektronen ineinander umgewandelt werden kann.
Da 2 Elektronen übergehen und der Quotient zwischen [Chinon]/[Hydrochinon] = 1 ist, berechnet sich das Redoxpotential nach:



